-
사이클이 없는 방향 그래프 DAG - Directed Acyclic GraphData Structure 2021. 6. 14. 16:16
DAG는 Topological Sort, Strongly Connected Component 등을 정의할 때 자주 사용되는 자료구조로
사이클이 존재하지 않는 방향 그래프
를 의미한다

DAG
DAG를 이해하기 위해Directed graph G가 cycle이 있다 ↔ G의 DFS Tree가 back edge를 가지고 있다
이러한 성질들은 서로 필요충분조건을 만족한다는 사실을 알 필요가 있다
1️⃣ ⬅ (G의 DFS Tree가 back edge를 가지고 있다면 G에는 cycle이 존재한다)
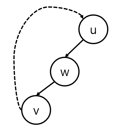
: 그래프 G에서 임의의 정점 u와 v에 대해 back edge(v,u)가 존재한다고 가정한다(위의 그림). 그러면 u ➡ ... ➡ v ➡ u로의 cycle이 존재한다
2️⃣ ➡ (Directed Graph G가 cycle이 있다면 G의 DFS tree가 back edge를 가지고 있다)
: v ➡ v₁ ➡ v₂ ➡ ... vk ➡ v로의 cycle이 존재한다고 가정한다. 만약 vi (1≤i≤k)가 이 cycle의 node들 중 처음으로 방문하는 node라 하면 나머지 vertex들은 vi에서 reachable 하므로 DFS tree에서 모두 vi의 descendant가 된다. 따라서 (vi-1, vi)는 back edge가 된다
따라서 DAG는 DFS Tree를 생성했을 때 Back Edge를 가지지 않는다
DAG의 Vertex들은 Topological Sort를 이용한 Linear ordering이 가능하다
https://2jinishappy.tistory.com/161?category=903864그래프의 Vertex를 정렬하는 Topological Sort - Kahn's Algorithm
그래프의 Vertex에는 순서가 있을까? 대학교의 전공 과목에는 선수 과목이라는 것이 존재한다. 특정 과목을 수강하기 위해서는 해당 과목의 선수 과목을 먼저 수강해야 하는 것이다. 이러한 관계
2jinishappy.tistory.com

DAG에서는 Source와 Sink라는 특별한 두 정점이 존재한다
Source는 indegree가 0인 vertex, Sink는 outdegree가 0인 vertex를 의미한다

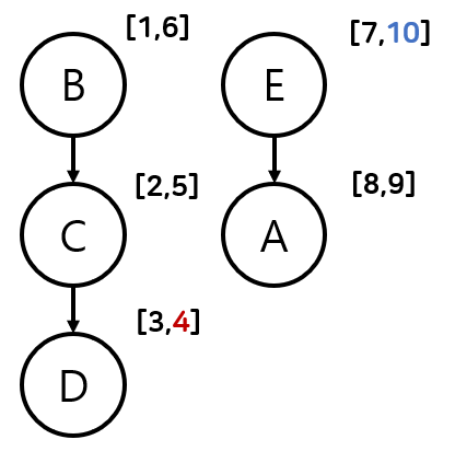
Source와 Sink는 위의 그림처럼 DAG의 아무 vertex에서 시작하여 DFS tree를 생성했을 때 post(v)가 가장 큰 node가 source, 가장 작은 node가 sink가 된다
'Data Structure' 카테고리의 다른 글
Hash Table에서의 Collision Handling - Linear Probing, Separate Chaining (0) 2021.06.18 빠른 데이터 검색을 위한 Hashing과 Hash Table (0) 2021.06.18 서로소 집합을 관리하는 Disjoint Set(Union Find) (2) 2021.03.17 Computer Science에서의 Tree란 (0) 2021.02.20 Array와 Linked List의 차이점 (0) 2021.01.31